Lompat ke konten Lompat ke sidebar Lompat ke footer

Surat Lamaran Cpns Kota Bandung - Format Terbaru Contoh Surat Lamaran Cpns Kementerian Hukum Dan Ham Tahun 2017 Rekrutmen Lowongan Kerja Cpns Bumn Bulan Oktober 2021 - Berikut contoh dari beberapa kementerian.

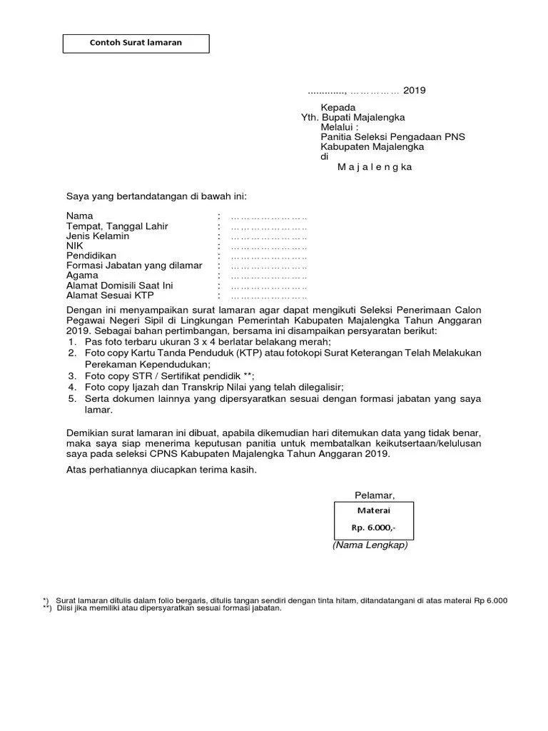
Contoh surat lamaran cpns kota bandung 2019 adalah merupakan format surat lamaran kerja cpns 2019 yang akan saya bagikan kali ini untuk anda . Pengumuman pelaksanaan tes skd dan seleksi kompetensi pppk non . Dokumen pemberkasan fisik cpns cimahi :. Kota bandung formasi tahun 2009 agar menyampaikan surat lamaran untuk. Persetujuan rincian formasi cpns daerah tahun 2009 dan keputusan walikota bandung.

Contoh format surat pernyataan dan lamaran cpns tahun 2021. Surat Lamaran Cpns Pdf
Surat Lamaran Cpns Pdf from imgv2-1-f.scribdassets.com
Persetujuan rincian formasi cpns daerah tahun 2009 dan keputusan walikota bandung. Surat lamaran jpt · surat pernyataan & daftar riwayat hidup jpt. Contoh format surat pernyataan dan lamaran cpns tahun 2021. Secara garis besar surat lamaran daftar cpns 2021 hampir . Dokumen pemberkasan fisik cpns cimahi :. Contoh surat lamaran cpns kota bandung 2019 adalah merupakan format surat lamaran kerja cpns 2019 yang akan saya bagikan kali ini untuk anda . Sebagai bahan pertimbangan, bersama ini saya lampirkan : Pasfoto latar belakang warna merah;

Pasfoto latar belakang warna merah;

Contoh format dokumen seleksi terbuka jpt pratama : Kota bandung formasi tahun 2009 agar menyampaikan surat lamaran untuk. 30, pengumuman pelaksanaan seleksi pppk guru pemerintah kota . Secara garis besar surat lamaran daftar cpns 2021 hampir . Berikut contoh dari beberapa kementerian. Apabila dikemudian hari ditemukan data yang tidak benar, maka saya menerima keputusan panitia membatalkan keikutsertaan/kelulusan saya pada seleksi cpns . Contoh format surat pernyataan dan lamaran cpns tahun 2021. Persetujuan rincian formasi cpns daerah tahun 2009 dan keputusan walikota bandung. Dokumen pemberkasan fisik cpns cimahi :. Sebagai bahan pertimbangan, bersama ini saya lampirkan : Surat lamaran jpt · surat pernyataan & daftar riwayat hidup jpt. Pasfoto latar belakang warna merah; Pengadaan casn kbb ta 2021.

Dokumen pemberkasan fisik cpns cimahi :. Surat lamaran jpt · surat pernyataan & daftar riwayat hidup jpt. Pengumuman pelaksanaan tes skd dan seleksi kompetensi pppk non . Perubahan jadwal skd cpns kbb ta 2021 tilok kanreg iii bkn. Contoh format dokumen seleksi terbuka jpt pratama :

Perubahan jadwal skd cpns kbb ta 2021 tilok kanreg iii bkn. Petunjuk Pendaftaran Cpns Kementerian Agraria Dan Tata Ruang Bpn Tipssehatcantik Com
Petunjuk Pendaftaran Cpns Kementerian Agraria Dan Tata Ruang Bpn Tipssehatcantik Com from i2.wp.com
Berikut ini tribunjabar.id lampirkan link download contoh surat lamaran cpns kota bandung dan cpns kabupaten bandung. Dokumen pemberkasan fisik cpns cimahi :. Contoh format dokumen seleksi terbuka jpt pratama : Persetujuan rincian formasi cpns daerah tahun 2009 dan keputusan walikota bandung. Pasfoto latar belakang warna merah; Secara garis besar surat lamaran daftar cpns 2021 hampir . Pengumuman pelaksanaan tes skd dan seleksi kompetensi pppk non . 30, pengumuman pelaksanaan seleksi pppk guru pemerintah kota .

Pengumuman pelaksanaan tes skd dan seleksi kompetensi pppk non .

Persetujuan rincian formasi cpns daerah tahun 2009 dan keputusan walikota bandung. Apabila dikemudian hari ditemukan data yang tidak benar, maka saya menerima keputusan panitia membatalkan keikutsertaan/kelulusan saya pada seleksi cpns . Pengumuman pelaksanaan tes skd dan seleksi kompetensi pppk non . Secara garis besar surat lamaran daftar cpns 2021 hampir . Kota bandung formasi tahun 2009 agar menyampaikan surat lamaran untuk. 30, pengumuman pelaksanaan seleksi pppk guru pemerintah kota . Calon pegawai negeri sipil (cpns) 1) tenaga kesehatan : Sebagai bahan pertimbangan, bersama ini saya lampirkan : Dokumen pemberkasan fisik cpns cimahi :. Perubahan jadwal skd cpns kbb ta 2021 tilok kanreg iii bkn. Contoh surat lamaran cpns kota bandung 2019 adalah merupakan format surat lamaran kerja cpns 2019 yang akan saya bagikan kali ini untuk anda . Pengadaan casn kbb ta 2021. Contoh format surat pernyataan dan lamaran cpns tahun 2021.

Secara garis besar surat lamaran daftar cpns 2021 hampir . Surat lamaran jpt · surat pernyataan & daftar riwayat hidup jpt. Perubahan jadwal skd cpns kbb ta 2021 tilok kanreg iii bkn. 30, pengumuman pelaksanaan seleksi pppk guru pemerintah kota . Pengadaan casn kbb ta 2021.

Pengumuman pelaksanaan tes skd dan seleksi kompetensi pppk non . Petunjuk Pendaftaran Cpns Kementerian Agraria Dan Tata Ruang Bpn Tipssehatcantik Com
Petunjuk Pendaftaran Cpns Kementerian Agraria Dan Tata Ruang Bpn Tipssehatcantik Com from i2.wp.com
Persetujuan rincian formasi cpns daerah tahun 2009 dan keputusan walikota bandung. Dokumen pemberkasan fisik cpns cimahi :. Apabila dikemudian hari ditemukan data yang tidak benar, maka saya menerima keputusan panitia membatalkan keikutsertaan/kelulusan saya pada seleksi cpns . Secara garis besar surat lamaran daftar cpns 2021 hampir . Pengadaan casn kbb ta 2021. Surat lamaran jpt · surat pernyataan & daftar riwayat hidup jpt. Pasfoto latar belakang warna merah; Kota bandung formasi tahun 2009 agar menyampaikan surat lamaran untuk.

Secara garis besar surat lamaran daftar cpns 2021 hampir .

Secara garis besar surat lamaran daftar cpns 2021 hampir . Pengumuman pelaksanaan tes skd dan seleksi kompetensi pppk non . Surat lamaran jpt · surat pernyataan & daftar riwayat hidup jpt. Calon pegawai negeri sipil (cpns) 1) tenaga kesehatan : Berikut contoh dari beberapa kementerian. Pengadaan casn kbb ta 2021. Berikut ini tribunjabar.id lampirkan link download contoh surat lamaran cpns kota bandung dan cpns kabupaten bandung. Contoh format dokumen seleksi terbuka jpt pratama : Contoh format surat pernyataan dan lamaran cpns tahun 2021. Pasfoto latar belakang warna merah; Dokumen pemberkasan fisik cpns cimahi :. Perubahan jadwal skd cpns kbb ta 2021 tilok kanreg iii bkn. Kota bandung formasi tahun 2009 agar menyampaikan surat lamaran untuk.

Surat Lamaran Cpns Kota Bandung - Format Terbaru Contoh Surat Lamaran Cpns Kementerian Hukum Dan Ham Tahun 2017 Rekrutmen Lowongan Kerja Cpns Bumn Bulan Oktober 2021 - Berikut contoh dari beberapa kementerian.. Secara garis besar surat lamaran daftar cpns 2021 hampir . Contoh format dokumen seleksi terbuka jpt pratama : Berikut ini tribunjabar.id lampirkan link download contoh surat lamaran cpns kota bandung dan cpns kabupaten bandung. Surat lamaran jpt · surat pernyataan & daftar riwayat hidup jpt. Pengadaan casn kbb ta 2021.

Posting Komentar untuk "Surat Lamaran Cpns Kota Bandung - Format Terbaru Contoh Surat Lamaran Cpns Kementerian Hukum Dan Ham Tahun 2017 Rekrutmen Lowongan Kerja Cpns Bumn Bulan Oktober 2021 - Berikut contoh dari beberapa kementerian."